6.2 燃气管道计算流量和水力计算
6.2.1 城镇燃气管道的计算流量,应按计算月的小时最大用气量计算。该小时最大用气量应根据所有用户燃气用气量的变化叠加后确定。
独立居民小区和庭院燃气支管的计算流量宜按本规范第10.2.9 条规定执行。
6.2.2 居民生活和商业用户燃气小时计算流量(0℃和101.325KPa),宜按下式计算:

式中:Qh——燃气小时计算流量(m³/h);
Qa——年燃气用量(m³/a);
n——年燃气最大负荷利用小时数(h);
Km——月高峰系数,计算月的日平均用气量和年的日平均用气量之比;
Kd——日高峰系数,计算月中的日最大用气量和该月日平均用气量之比;
Kh——小时高峰系数,计算月中最大用气量日的小时最大用气量和该日小时平均用气量之比。
6.2.3 居民生活和商业用户用气的高峰系数,应根据该城镇各类用户燃气用量(或燃料用量)的变化情况,编制成月、日、小时用气负荷资料,经分析研究确定。
工业企业和燃气汽车用户燃气小时计算流量,宜按每个独立用户生产的特点和燃气用量(或燃料用量)的变化情况,编制成月、日、小时用气负荷资料确定。
6.2.4 采暖通风和空调所需燃气小时计算流量,可按国家现行的标准《城市热力网设计规范》CJJ34有关热负荷规定并考虑燃气采暖通风和空调的热效率折算确定。
6.2.5 低压燃气管道单位长度的摩擦阻力损失应按下式计算:

式中: △P——燃气管道摩擦阻力损失(Pa);
λ——燃气管道摩擦阻力系数,宜按式(6.2.6-2)和附录C 第C.0.1 条第1、2 款计算;
l——燃气管道的计算长度(m);
Q——燃气管道的计算流量(m³/h);
d——管道内径(mm);
ρ——燃气的密度(kg/m³);
T——设计中所采用的燃气温度(K);
T0——273.15(K)。
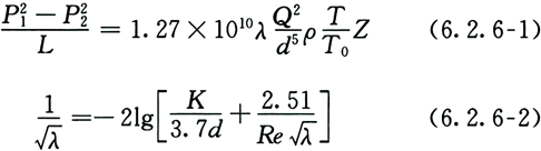
6.2.6 高压、次高压和中压燃气管道的单位长度摩擦阻力损失,应按式(6.2.6-1)计算:

式中:P1——燃气管道起点的压力(绝对压力,kPa);
P2——燃气管道终点的压力(绝对压力,kPa);
Z——压缩因子,当燃气压力小于1.2MPa(表压)时,Z取1;
L——燃气管道的计算长度(km);
λ——燃气管道摩擦阻力系数,宜按式(6.2.6-2)计算;
K——管壁内表面的当量绝对粗糙度(mm);
Re——雷诺数(无量纲)。
注:当燃气管道的摩擦阻力系数采用手算时,宜采用附录C公式。
6.2.7 室外燃气管道的局部阻力损失可按燃气管道摩擦阻力损失的5%~10%进行计算。
6.2.8 城镇燃气低压管道从调压站到最远燃具管道允许阻力损失,可按下式计算:

式中:△Pd——从调压站到最远燃具的管道允许阻力损失(Pa);
Pn——低压燃具的额定压力(Pa)。
注:△Pd含室内燃气管道允许阻力损失,室内燃气管道允许阻力损失应按本规范第10.2.11 条确定。
对庭院燃气支管和独立的居民点,由于所接用具的种类和数量一般为已知,此时燃气管道的计算流量宜按本规范第10.2.9条规定计算,这样更加符合实际情况。
6.2.4 燃气作为建筑物采暖通风和空调的能源时,其热负荷与采用热水(或蒸汽)供热的热负荷是基本一致的,故可采用《城市热力网设计规范》CJJ34中有关热负荷的规定,但生活热水的热负荷不计在内,因为生活热水的热负荷在燃气供应中已计入用户的用气量指标中。
6.2.5、6.2.6 本条以柯列勃洛克公式替代原来的阿里特苏里公式。柯氏公式是至今为世界各国在众多专业领域中广泛采用的一个经典公式,它是普朗特半经验理论发展到工程应用阶段的产物,有较扎实的理论和实验基础,在规范的正文中作这样的改变,符合中国加入WTO以后技术上和国际接轨的需要,符合今后广泛开展国际合作的需要。
柯列勃洛克公式是个隐函数公式,其计算上产生的困难,在计算机技术得到广泛应用的今天已经不难解决,但考虑到使用部门的实际情况,给出一些形式简单便于计算的显函数公式仍是需要的,在附录C中列出了原规范中的阿里特苏里公式,阿氏公式和柯式公式比较偏差值在5%以内,可认为其计算结果是基本一致的。
公式中的当量粗糙度K,反映管道材质、制管工艺、施工焊接、输送气体的质量、管材存放年限和条件等诸多因素使摩阻系数值增大的影响,因此采用旧钢管的K值。
对于我国使用的焊接钢管,其新钢管当量粗糙度多数国家认定为K=0.045mm左右,1990年的燃气设计规范专题报告中,引用了二组新钢管实测数据,计算结果与K=0.045mm十分接近。在实际工程设计中参照其他国家规范对天然气管道采用当量粗糙度的情况,取K=0.1mm较合适。取K=0.1mm比新钢管取K=0.045mm,其λ值平均增大10.24%。
考虑到人工煤气气质条件,比天然气容易造成污塞和腐蚀,根据1990年的燃气设计规范专题报告中的二组旧钢管实测数据,反推当量粗糙度K为0.14~0.18mm。
本规范对人工煤气使用钢管时取K=0.15mm,它比新钢管K=0.045mm,λ值平均增大18.58%。6.2.8本条所述的低压燃气管道是指和用户燃具直接相接的低压燃气管道(其中间不经调压器)。我国目前大多采用区域调压站,出口燃气压力保持不变,由低压分配管网供应到户就是这种情况。
1 国内几个有代表性城市低压燃气管道计算压力降的情况见表24。燃具额定压力Pn为800Pa时,燃具前的最低压力为600Pa,约为Pn的600/800=75%。低压管道总压力降取值:北京较低、沈阳较高、上海居中。这有种种原因,如北京为1958年开始建设的,对今后的发展留有较大余地;又如沈阳是沿用旧的管网,由于用户在不断的增加,要求不断提高输气能力,不得不把调压站出口压力向上提,这是迫不得已采取的一种措施;上海市的情况界于上述两城市之间,其压力降为900Pa,约为Pn的1.0倍。
表24 几个城市低压管道压力降(Pa)

2 原苏联建筑法规《燃气供应、室内外燃气设备设计规范》对低压燃气管道的计算压力降规定如表25,其总压力降约为燃具额定压力的90%。
表25 低压燃气管道的计算压力降(Pa)

3 从我国有关部门对居民用的人工煤气、天然气、液化石油气燃具所做的测定表明,当燃具前压力波动为0.5Pn~1.5Pn时,燃烧器的性能达到燃具质量标准的要求,燃具的这种性能,在我国的《家用燃气灶具标准》GB16410中已有明确规定。
但不少代表提出,在实际使用中不宜把燃具长期置于0.5Pn下工作,因为这样不合乎中国人炒菜的要求,且使做饭时间加长,参照表24的情况,可见取0.75Pn是可行的。这样一个压力相当于燃气灶热负荷比额定热负荷仅仅降低了13.4%,是能基本满足用户使用要求的,而且这只是对距调压站最远用户而言,在一年中也仅仅是在计算月的高峰时出现,对广大用户不会产生影响。
综上所述燃气灶具前的实际压力允许波动范围取为0.75Pn~1.5Pn是比较合适的。
4 因低压燃气管道的计算压力降必须根据民用燃气灶具压力允许的波动范围来确定,则有1.5Pn-0.75Pn=0.75Pn。
按最不利情况即当用气量最小时,靠近调压站的最近用户处有可能达到压力的最大值,但由调压站到此用户之间最小仍有约150Pa的阻力(包括煤气表阻力和干、支管阻力),故低压燃气管道(包括室内和室外)总的计算压力降最少还可加大的150Pa,故△Pd=0.75Pn+150。
5 根据本条规定,低压管道压力情况如表26。
表26 低压燃气管道压力数值表(Pa)

6 应当补充说明的是,本条所给出的只是低压燃气管道的总压力降,至于其在街区干管、庭院管和室内管中的分配,还应根据情况进行技术经济分析比较后确定。作为参考,现将原苏联建筑法规推荐的数值列如表27。
表27 《原苏联建筑法规》规定的低压燃气管道压力降分配表(Pa)

对我国的一般情况参照原苏联建筑法规,列出的数值如表28可供参考。
表28 低压燃气管道压力降分配参考表(Pa)

- 上一节:6.1 一般规定
- 下一节:6.3 压力不大于1.6Mpa的室外燃气管道